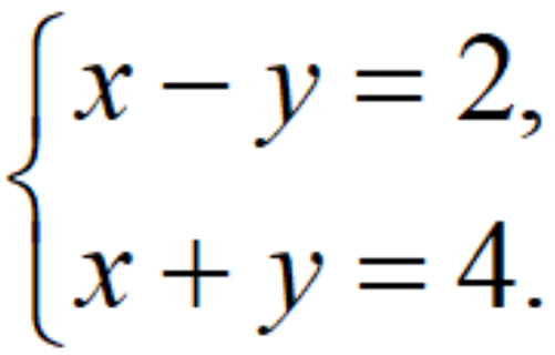
154 Експрес-контроль Розв’язування систем лінійних рівнянь з двома змінними способом додавання 1 / 6 Дано систему рівнянь: 1. Біля якої змінної коефіцієнти є протилежними числами? х. х і у. у. Не можна визначити. 2 / 6 Дано систему рівнянь: Після додавання рівнянь системи отримаємо рівняння-суму: 0 ∙ х + 2у = 6. 2х + 0 ∙ у = 4. 0 ∙ х + 2у = 2. 2х + 0 ∙ у = 6. 3 / 6 Дано систему рівнянь: Яка пара чисел є розв’язком даної системи? (3; 1). (−3; 1). (1; 3). (1; −3). 4 / 6 Дано систему рівнянь: Біля якої змінної коефіцієнти є протилежними числами? х. у. х і у. Не можна визначити. 5 / 6 Дано систему рівнянь: Після додавання рівнянь системи отримаємо рівняння-суму: 2х + 0 ∙ у = 4. 0 ∙ х + 2у = 1. 2х + 0 ∙ у = 2. 0 ∙ х + 2у = 3. 6 / 6 Дано систему рівнянь: Яка пара чисел є розв’язком даної системи? (2; 0). (2; −1). (1; 2). (−1; 2). Your score is